Z6尊龙旗舰厅

Z6尊龙旗舰厅(中国)官方网站

新闻中心

News Center

高容量氟掺杂碳包覆纳米硅负极质料: 气相氟化法制备及其储锂性能

2024-06-04

作者:苏楠, , 邱洁山, , 王志宇.F掺杂 高容量碳涂层纳米硅阳极:气态氟化制备 和锂存储的性能。。。无机质料学报, , 2023, , 38(8): 947-953 DOI:10.15541/jim20230009


摘要


具有超高储锂比容量的硅质料是备受瞩目的高性能锂离子电池负极质料, 但硅嵌锂时重大的体积膨胀效应使之快速失效, 从而限制了其应用性能。。。本研究提出一种浅易低毒的气相氟化要领制备氟掺杂碳包覆纳米硅质料。。。通过在纳米硅外貌包覆高缺陷度的氟掺杂碳层, 抑制硅质料嵌锂体积膨胀, 提供富厚的锂离子输运通道, 同时形成富含LiF的稳固SEI膜。。;;;;竦玫姆粼犹及材擅坠韪杭0.2~5.0 A·g-1电流密度下, 比容量达1540~ 580 mAh·g-1, 循环200次后容量坚持率>75%。。。本要领解决了古板氟化手艺氟源(如XeF2、F2等)高本钱、高毒性的问题。。。

要害词: 锂离子电池; 硅负极; 氟掺杂碳; 气相氟化法


生长高效的能源存储和转化手艺有助于实现“碳达峰、碳中和”目的。。。锂离子电池是现在应用最为普遍的高效储能手艺之一[1], 但商业化石墨负极储锂容量低, 极大限制了锂离子电池能量密度[2]。。。硅具有低电位、储量富厚等优点, 且理论比容量(4200 mAh·g-1)远高于石墨负极, 被视为取代石墨的候选负极质料[3]。。。硅质料基于与锂离子的可逆合金化反映实现储锂, 但这一历程陪同重大的体积转变(~400%), 导致电极快速粉化失效, 成为制约硅负极走向现实应用的要害瓶颈[3-4]。。。

近年来, 研究者开发了多种提升硅负极稳固性与电化学性能的战略, 如: 纳米化[5]、与导电碳等质料结构复合[6-7]等, 通过在微观标准缓解硅负极储锂体积膨胀陪同的机械应力提升其结构稳固性; 开发新型电解液或电解液添加剂, 提升硅负极表界面固体电解质界面相(SEI)的稳固性与库仑效率[8]; 生长高效聚合物黏结剂(如羧甲基纤维素钠、海藻酸钠、聚丙烯酸基聚轮烷[9]等), 强化活性子料与活性子料之间、活性子料与导电网络之间、电极膜与集流体之间的结协力[9-10]。。。其中, 碳包覆是提升硅负极结构稳固性与调变表界面性子最有用的手段之一[3-4,11], 但细密包覆的高稳固碳层同时也会阻碍锂离子输运, 限制硅负极充分验展性能。。。

别的, 硅负极在一连充放电历程中的重复体积转变也引起SEI膜一直断裂和重复生长, 导致活性锂与电解液在电极外貌一直消耗[12]。。。针对以上问题, 本研究提出一种高效气相氟化要领, 在硅负极质料外貌包覆富含氟元素的高缺陷度无定形碳层以提升其结构与界面稳固性。。。与使用XeF2或F2等高本钱、高毒性氟源的古板氟化手艺相比[13], 本战略越发浅易低毒。。。氟掺杂碳层在纳米硅质料外貌包覆可以在高效缓冲硅负极嵌锂体积膨胀的同时, 提升锂离子输运能力, 并原位构建富含无机氟化物的高稳固性SEI膜, 从而实现改善硅负极循环稳固性的目的。。。


1实验要领


1.1 质料制备

碳包覆纳米硅(Si@C)的制备:将0.3 g商业化纳米硅粉(粒径20~100 nm, 阿拉丁试剂)超声疏散在28 mL去离子水和乙醇的混淆溶剂(体积比为5 : 2)中, 加入0.4 mL 3-氨丙基三乙氧基硅烷后, 搅拌2 h形成匀称疏散液A。。。将0.115 g的4, 4-二羟基二苯硫醚和0.1 g的3-氨基酚溶于28 mL去离子水和乙醇混淆溶剂(体积比5 : 2)中, 形成均相溶液B。。。将疏散液A与溶液B混淆匀称后加入0.1 mL氨水, 搅拌30 min后加入0.14 mL甲醛溶液(37%~40%), 所得混淆溶液在30 ℃下恒温搅拌反映12 h。。。反映竣事后使用乙醇与去离子水交替离心洗涤3次后获得酚醛树脂包覆纳米硅(Si@AF)。。。将其在800 ℃氩气中焙烧3 h, 获得碳包覆纳米硅(Si@C)。。。

氟掺杂碳包覆纳米硅(Si@C-F)的制备:将100 mg Si@C和200 mg聚偏氟乙烯(PVDF)置于氩气;;;;さ墓苁铰。。。盛放PVDF的石英舟位于气流上游, 盛放Si@C的石英舟位于气流下游, 在600 ℃焙烧3 h, 获得氟掺杂碳包覆纳米硅(Si@C-F)。。。


1.2 电池组装与电化学性能测试

1.2.1 电池组装

组装CR2016纽扣电池举行测试。。。将活性物质、导电炭黑和羧甲基纤维素钠黏结剂按7 : 2 : 1的质量比混淆匀称后, 加入去离子水作为溶剂和疏散剂, 将获得的浆料匀称涂布在铜箔上作为事情电极, 活性物质载量为0.8~1.0 mg·cm-2。。。使用金属锂片作为对电极及参比电极。。。电解液为消融1.0 mol/L LiTFSI(双三氟甲磺酸酰亚胺锂)与2.0% LiNO3的DOL/DME(DOL为1, 3-二氧戊环, DME为乙二醇二甲醚, 体积比1 : 1)溶液。。。在充满氩气的手套箱中组装电池(水含量< 0.1 μL/L, 氧含量< 0.1 μL/L)。。。


1.2.2 电池性能测试

使用IVIUM Vertex.C.EIS电化学事情站, 使用循环伏安(Cyclic Voltammetry, CV)法剖析电池的反映机理与反映动力学, 电压区间为0.01~1.5 V, 扫速为0.05~0.5 mV·s-1; 使用电化学阻抗谱(Electrochemical Impedance Spectroscopy, EIS)剖析电极动力学, 测试频率规模为100 kHz~10 mHz, 扰动电压振幅为5.0 mV。。。使用Land CT2001A 电池测试仪, 使用恒流充放电要领研究储锂性能, 电压窗口为0.01~ 1.5 V (vs. Li/Li+), 电流密度0.2~5.0 A·g-1。。。


2 效果与讨论


2.1 质料的形貌结构与组身剖析

氟掺杂碳包覆纳米硅质料的制备历程如1所示。。。首先, 基于酚醛缩聚反映制备聚合物包覆纳米硅(Si@AF), 并在高温下转化为无定形碳包覆纳米硅(Si@C)。。。然后以聚偏氟乙烯为氟源, 在高温下通过气相氟化要领在硅纳米颗粒外部包覆碳层中掺杂氟。。。2(a)Si@C和Si@C-F质料的XRD谱图, 位于2θ=28°、47°、56°、69°和76°的衍射峰划分对应于单晶硅(JCPDS 77-2108)的(111)、(220)、(311)、(400)和(331)晶面。。。位于2θ=25°~26°的宽峰归属于酚醛缩聚产品碳化形成的短程有序碳结构。。。高导电性与优异结构柔韧性的碳包覆层可以有用缓解硅质料在充放电历程中粉化失效, 提升电极导电性。。。2(b)Si@C和Si@C-F质料的拉曼谱图, 在515、947、1350和1594 cm-1处泛起显着的吸收峰。。。其中, 515和947 cm-1的吸收峰是晶体硅的特征峰, 划分泉源于硅的一阶光声子散射和二阶横向光声子散射[14]; 1350和1594 cm-1的吸收峰划分对应于芬芳碳构型伸缩振动(G模)和无序缺陷碳结构(D模)。。。一般而言, D模和G模的强度比(ID/IG)可用以权衡碳质料的缺陷水平与无序度[15]。。。与Si@C质料(ID/IG=0.99)相比, Si@C-F质料的ID/IG增大到1.08, 批注氟化历程可增添碳包覆层的缺陷度, 有利于在细密包覆纳米硅的同时, 提升锂离子输运能力。。。

Z6尊龙旗舰厅(中国)官方网站

1 氟掺杂碳包覆纳米硅质料的制备历程示意图


Z6尊龙旗舰厅(中国)官方网站


2 Si@C和Si@C-F的(a)XRD谱图, (b)Raman谱图, (c)XPS全谱图, 高分辨(d)F1s和(e)Si2p XPS谱图; (f)Si@C-F的TGA曲


XPS全谱图批注Si@C质料含有O、N、C、Si元素(2(c))。。。氟化处理后所获的Si@C-F质料中F元素原子分数约为1.8%。。。高分辨F1s XPS谱图(2(d))中, 在连系能686.3和687.8 eV处的两个特征峰划分对应C-F和Si-O-F, 且以C-F为主, 批注氟化处理在纳米硅外貌包覆的无定形碳层中乐成引入了氟元素。。。高分辨Si2p(2(e))与F1s XPS谱图证实Si原子与碳层中的F元素通过形成Si-O-F键爆发化学作用, 有利于碳层在硅外貌的细密包覆。。。热重剖析(TGA)批注Si在Si@C-F质料中的质量分数约为85.17%(2(f))。。。

SEM剖析批注Si@C-F质料由尺寸<100 nm的纳米颗粒组成(3(a~c))。。。高温碳化及气相氟化处理后, 碳质料仍然匀称包覆在硅纳米颗粒外貌。。。

Z6尊龙旗舰厅(中国)官方网站

3 Si@C-F质料的(a~c)SEM照片, (d~f)TEM照片及其(g~i)元素漫衍谱图


TEM剖析批注硅纳米颗粒被完整、匀称地包覆在厚度约十余纳米的碳层之中, 形成核壳结构(3(d~e))。。。硅纳米颗粒具有单晶结构, 其中0.328 nm的晶格间距对应Si的(111)晶面, 包覆其外的氟掺杂碳层呈无定形结构(3(f))。。。元素漫衍谱图证实C和Si元素在Si@C-F中漫衍匀称(3(g~i))。。。


2.2 质料的电化学性能

4(a, b)Si@C和Si@C-F负极质料的CV曲线, 扫速为0.1 mV·s-1, 电压区间为0.01~1.5 V。。。首次循环中, 0.1~0.4 V规模的弱宽峰对应电解液剖析天生SEI膜的不可逆历程; 0.01 V处的还原峰对应晶体硅通过合金化反映形成硅锂合金(LixSi)的历程。。。随后充电历程中, 0.32和0.49 V处的两个氧化峰对应于LixSi去合金化形成非晶硅的历程[16]。。。氟化处理可以通过结构掺杂与刻蚀效应, 在Si质料外貌包覆的无定形碳层中引入大宗结构缺陷, 形成三维锂离子传输通道, 加速锂离子输运并增强Si质料的电化学应活性。。。因而Si@C-F比无氟掺杂的Si@C负极在0.49 V处体现出更尖锐的脱锂氧化峰。。。在随后的放电历程中, 0.19 V处新的还原峰对应于首次充电历程形成的非晶硅的嵌锂历程[16-17]。。。随着循环次数增添, CV曲线中氧化峰与还原峰的位置不再转变, 批注Si@C和Si@C-F负极质料在首次充放电后遵照类似的合金化储锂机制。。。此历程中氧化峰与还原峰逐渐增强, 体现出典范的电极活化历程。。。

Z6尊龙旗舰厅(中国)官方网站

4 (a, c, e) Si@C和(b, d, f) Si@C-F负极在 (a, b) 0.1 mV·s-1扫速下的CV曲线, 电流密度为(c, d) 0.2和(e, f) 0.4 A·g-1时的充放电曲线


恒流充放电测试中, 将Si负极质料在较低电流密度(0.2 A·g-1)下循环活化4次后, 在0.4 A·g-1电流密度下测试其循环稳固性。。。4(c, d)Si@C和Si@C-F负极在0.2 A·g-1的恒电流充放电曲线, 电压窗口为0.01~1.5 V。。。首次放电历程中, 二者皆在< 0.1 V电压区间内形生长平台, 对应晶体硅合金化嵌锂历程, 此历程往往陪同较低的首次库仑效率。。。首次充电历程中, 硅锂合金脱锂转变为嵌锂活化能更低的非晶硅[18], 使嵌锂电位在首次充放电后升高到0.1~0.3 V。。。与Si@C相比, Si@C-F负极的首次放电比容量(2640 mAh·g-1)略低, 但首次充电比容量(1739.6 mAh·g-1)更高, 首次库仑效率(65.9%)比Si@C负极提升约45.8 %。。。Si@C-F负极SEI区的充放电曲线比Si@C更短, 批注外貌形成磷泣稳固的SEI膜。。。这是由于氟掺杂碳层有利于在硅负极外貌诱导形成含无机组分(如LiF)、稳固性更高的SEI膜, 从而降低不可逆锂损失以及电解液消耗[19]。。。

4(e~f)Si@C和Si@C-F负极活化后, 在0.4 A·g-1电流密度下的充放电曲线。。。循环100次后, Si@C-F负极仍可坚持1223 mAh·g-1的高比容量, 容量坚持率>85%(5(a))。。。相同条件下, 未经氟化处理的Si@C负极在充放电历程中容量迅速衰减, 循环100次后容量坚持率仅为62%, 显示出氟掺杂碳包覆层对提高硅负极循环稳固性的显著作用。。。未经碳包覆的商业化纳米硅负极因脱嵌锂历程中重大的体积膨胀与结构粉化, 循环10余次后即告失效。。。此历程中, Si@C-F及Si@C负极由于活化效应, 比容量在前10~20次循环中逐渐增大。。。在0.2~5.0 A·g-1大电流密度下, Si@C-F负极可坚持1540~580 mAh·g-1的高比容量, 体现出优异的容量坚持率(5(b))。。。在5.0 A·g-1的大电流密度下, 其容量坚持率比Si@C提升约78%。。。电流密度再降至0.2 A·g-1时, 比容量可恢复到1450 mAh·g-1, 批注其在高倍率储锂历程中结构高度稳固。。。在0.2 A·g-1电流密度下充放电循环200次后, Si@C-F负极可坚持>75%的比容量, 而未经氟化处理的Si@C负极容量坚持率仅为40%(5(c))。。。此负极也体现出优于文献报道中硅负极质料的储锂性能(1)。。。

Z6尊龙旗舰厅(中国)官方网站

5 Si@C和Si@C-F负极(a)在电流密度为0.4 A·g-1时的循环性能(先在0.2 A·g-1电流密度下活化4圈); (b)在电流密度0.2~5.0 A·g?1规模的倍率性能; (c)在电流密度为0.2 A·g-1时的长循环容量坚持率


1 Si@C-F负极与文献报道硅负极的电化学性能较量

质料

初始 CE

初始容量/(mAh·g-1)

容量 retention

裁判。。。

Si@C-F

65.9%

2640

85% (100 次循环)
75 % (循环次数)

这项事情

纳米硅/TiN@

71%

2716

59.4% (110次循环)

[20]

Si@C@RGO

74.5%

1474

48.9%(40 次循环)

[21]

Si@FA

65%

1334

68.7%(100次循环)

[22]

P-Si@C

58%

3460

57.5%(100 次循环)

[23]

Si@void@C

-

900

70%(100 次循环)

[24]

/C@C

-

1120

80%(100 次循环)

[25]


包覆碳层中的氟掺杂量对Si@C-F负极的储锂性能具有显著影响。。。当氟掺杂量在原子分数1.8%以下时, Si@C-F负极的循环稳固性随着氟掺杂量增大而显著提升(6), 这得益于氟掺杂对碳包覆层锂离子输运性子与硅质料外貌SEI膜稳固性的增强效应。。。氟掺杂比例过高(>2.7%)时, 碳包覆Si负极质料仍坚持较好的循环稳固性, 但比容量大幅度下降。。。这是由于高温氟化历程中, 气相氟物种刻蚀导致活性Si损失所致。。。氟掺杂量为原子分数1.8%时, Si@C-F负极体现出最优的循环稳固性与高比容量。。。

Z6尊龙旗舰厅(中国)官方网站

6 差别氟掺杂量Si@C-F负极在0.4 A·g-1电流密度的循环性能(先在0.2 A·g-1电流密度下活化4~10圈)


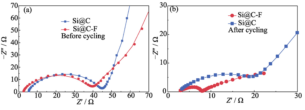
Si@C和Si@C-F负极的EIS谱图由中高频区域的半弧形曲线和低频区域的倾斜直线组成(7(a))。。。中高频规模的半弧形曲线与电荷转移电阻(Rct)相关, 低频规模的倾斜直线主要体现锂离子扩散的Warburg阻抗(ZW)[26]。。。充放电前, Si@C-F与Si@C负极的Rct相近, 但前者由于外貌笼罩高缺陷度的氟掺杂碳层, ZW更低。。。充放电循环后, Si@C-F负极的Rct(5.51 Ω)比Si@C负极(21.97 Ω)显著降低(7(b)), 同时ZW远低于后者。。。这批注氟掺杂碳层诱导形成的富氟SEI界面膜可以有用提升界面电荷与锂离子输运能力。。。

Z6尊龙旗舰厅(中国)官方网站

7 Si@C和Si@C-F负极在循环(a)前(b)后的电化学阻抗谱图(电流密度为0.4 A·g-1)


2.3 充放电后的电极结构表征

充放电循环后的SEM表征(8(a~c))批注, 由于硅在嵌锂历程中的体积膨胀效应显著, Si@C电极的厚度增添了132.3%。。。这不但阻碍离子与电子传输, 增添电极内阻与极化, 并且造成重大的机械应力, 使电极破碎并与集流体疏散, 导致Si@C负极性能快速衰减(5(c))。。。与之相比, Si@C-F负极充放电循环后电极厚度仅增添了26.6%, 并坚持了优异的电极结构稳固性(8(d~f))。。。这批注引入的氟掺杂碳层可以在微观标准上高效缓冲硅质料嵌锂的体积膨胀效应, 从而自下而上地增强电极在宏观标准上的结构稳固性。。。

Z6尊龙旗舰厅(中国)官方网站


8 (a)充放电循环后的Si@C和(d)Si@C-F负极的外貌SEM照片; (b, e)循环前和(c, f)循环后(b, c)Si@C和(e, f) Si@C-F负极截面的SEM照片; 充放电循环后Si@C和Si@C-F负极外貌SEI膜的高分辨(g)F1s及(h)Li1s XPS谱图


使用XPS剖析了充放电循环后的Si@C和Si@C-F负极外貌SEI膜的组成(8(g~h))。。。高分辨F1s XPS图谱中, 在连系能684.8、688.3和689.1eV处的连系能峰划分对应于LiF、C-F键和CF2。。。响应地, 高分辨Li1s XPS图谱中也保存对应于LiF物种的特征峰, 批注在硅负极外貌形成了含LiF物种的SEI膜。。。与Si@C负极相比, Si@C-F负极外貌的LiF含量更高, 批注SEI膜中的LiF除来自电解液中锂盐剖析之外, 更多泉源于氟掺杂碳层中的F。。。形成高模量LiF可以有用增添SEI膜的结构强度, 抑制硅质料嵌锂体积转变。。。同时, LiF的宽带隙和绝缘特征可以减小SEI厚度, 降低初始不可逆锂损失。。。LiF与Si的锂化产品LixSi合金具有较高的界面能, 可以更好地顺应锂化硅负极在循环历程中的塑性形变, 从而进一步提升电极的循环稳固性[19]。。。


3结论

本研究通过浅易、低毒的气相氟化要领制备了氟掺杂碳包覆纳米硅质料。。。研究批注, 氟掺杂(1.8% F)一方面增添硅外貌碳包覆层的缺陷度, 在细密包覆纳米硅以抑制其体积膨胀的同时, 提供富厚的锂离子输运通道; 另一方面, 在纳米硅质料外貌诱导形成富含LiF的高稳固SEI膜, 进一步提升硅负极的稳固性与库仑效率。。。得益于此, 氟掺杂碳包覆纳米硅负极的首次库仑效率改善至65.9%, 在0.2~5.0 A·g-1电流密度下, 体现出1540~580 mAh·g-1的高比容量, 循环200次后, 可坚持>75%的初始容量。。。本事情为设计修建高容量、高稳固性的硅负极质料提供了新的思绪。。。


参考文献

[1] NIU S S, WANG Z Y, YU M L, et al. MXene–based electrode with enhanced pseudocapacitance and volumetric capacity for power- type and ultra-long life lithium storage. ACS Nano, 2018, 12(4): 3928.

[2] SU X, WU Q L, LI J C, et al. Silicon-based nanomaterials for lithium-ion batteries: a review. Advanced Energy Materials, 2014, 4(1): 1300882.

[3] GE M Z, CAO C Y, GILL M B, et al. Recent advances in silicon- based electrodes: from fundamental research toward practical applications. Advanced Materials, 2021, 33(16): 2004577.

[4] LI P, ZHAO G Q, ZHENG X B, et al. Recent progress on silicon- based anode materials for practical lithium-ion battery applications. Energy Storage Materials, 2018, 15: 422.

[5] LIU X H, ZHONG L, HUANG S, et al. Size-dependent fracture of silicon nanoparticles during lithiation. ACS Nano, 2012, 6(2): 1522.

[6] LUO W, WANG Y X, CHOU S L, et al. Critical thickness of phenolic resin-based carbon interfacial layer for improving long cycling stability of silicon nanoparticle anodes. Nano Energy, 2016, 27: 255.

[7] DOU F, SHI L Y, CHEN G R, Silicon/carbon composite anode materials for lithium-ion batteries. Electrochemical Energy Reviews, 2019, 2(1): 149.

[8] JIA H P, ZOU L F, GAO P Y, et al. High-performance silicon anodes enabled by nonflammable localized high-concentration electrolytes. Advanced Energy Materials, 2019, 9(31): 1900784.

[9] CHOI S H, KWON T W, COSKUN A, et al. Highly elastic binders integrating polyrotaxanes for silicon microparticle anodes in lithium ion batteries. Science, 2017, 357: 279.

[10] LI Z H, ZHANG Y P, LIU T F, et al. Silicon anode with high initial Coulombic efficiency by modulated trifunctional binder for high areal-capacity lithium-ion batteries. Advanced Energy Materials, 2020, 10(20): 1903110.

[11] XU Z L, CAO K, ABOUALI S, et al. Study of lithiation mechanisms of high performance carbon-coated Si anodes by in-situ microscopy. Energy Storage Materials, 2016, 3: 45.

[12] TEKI R, MONI K D, RAHUL K, et al. Nanostructured silicon anodes for lithium ion rechargeable batteries. Small, 2009, 5(20): 2236.

[13] XIA S X, ZHANG X, LUO L L, et al. Highly stable and ultrahigh- rate Li metal anode enabled by fluorinated carbon fibers. Small, 2021, 17: 2006002.

[14] ZHANG S L, WANG X, HO K S, et al. Raman spectra in a broad frequency region of p-type porous silicon. Journal of Applied Physics, 1994, 76(5): 3016.

[15] HUANG W, WANG Y, LUO G H, et al. 99.9% Purity multi-walled carbon nanotubes by vacuum high-temperature annealing. Carbon, 2003, 41(13): 2585.

[16] MCDOWELL M T, LEE S W, NIX W D, et al. 25th Anniversary article: understanding the lithiation of silicon and other alloying anodes for lithium-ion batteries. Advanced Materials, 2013, 25(36): 4966.

[17] KEY B, MORCRETTE M, TARASCON J M. Pair distribution function analysis and solid state NMR studies of silicon electrodes for lithium ion batteries: understanding the (de)lithiation mechanisms. Journal of American Chemical Society, 2011, 133(3): 503.

[18] GAO H, XIAO L S, PLUMEL I, et al. Parasitic reactions in nanosized silicon anodes for lithium-ion batteries. Nano Letters, 2017, 17(3): 1512. [19] CHEN J, FAN X L, LI Q, et al. Electrolyte design for LiF-rich solid–electrolyte interfaces to enable high-performance microsized alloy anodes for batteries. Nature Energy, 2020, 5(5): 386.

[20] ZHANG P, GAO Y Q, RU Q, et al. Scalable preparation of porous nano-silicon/TiN@carbon anode for lithiumion batteries. Applied Surface Science, 2019, 498: 143829.

[21] SU M R, WAN H F, LIU Y J, et al. Multi-layered carbon coated Si-based composite as anode for lithium-ion batteries. Powder Technology, 2018, 323: 294.

[22] PU J B, QIN J, WANG Y Z, et al. Synthesis of micro-nano sphere structure silicon-carbon composite as anode material for lithium- ion batteries. Chemical Physics Letters, 2022, 806: 140006.

[23] GAO R S, TANG J, YU X L, et al. A sandwich-like silicon-carbon composite prepared by surface-polymerization for rapid lithium-ion storage. Nano Energy, 2020, 70: 104444.

[24] GONG X H, ZHENG Y B, ZHENG J, et al. Yolk-shell silicon/ carbon composites prepared from aluminum-silicon alloy as anode materials for lithium-ion batteries. Ionics, 2021, 27: 1939.

[25] LIA Y R, WANG R Y, ZHANG J W, et al. Sandwich structure of carbon-coated silicon/carbon nanofiber anodes for lithium-ion batteries. Ceramics International, 2019, 45: 16195.

[26] YANG X M AND ROGACH A L. Electrochemical techniques in battery research: a tutorial for nonelectrochemists. Advanced Energy Materials, 2019, 9(25): 1900747.

【网站地图】